电动汽车的普及面临着一个核心挑战:如何实现快速充电而不损害电池的性能和寿命。锂离子电池在高速充电时,负极容易发生锂金属析出(锂 plating),这不仅会导致电池容量不可逆地衰减,还可能引发安全隐患。
提升电池温度是应对这一挑战的有效策略之一,它能够加速锂离子的迁移和扩散,降低电极极化。但温度过高又会加剧电解质分解等副反应,如何把握其中的平衡点?
来自美国阿贡国家实验室的研究团队在 《Journal of The Electrochemical Society》 上发表了他们的重要研究成果,系统性地探索了在 30°C 至 55°C 温度范围内,不同充电速率(1C 至 8C)下锂离子电池的行为。他们通过微探针参比电极实时监测电极电位,并借助先进的多相电化学模型,首次绘制出了能够避免析锂的“安全充电线”。这项研究为设计快速充电协议提供了关键的理论基础和实验数据。
论文标题:Fast Charging of Li-Ion Cells: Part IV. Temperature Effects and “Safe Lines” to Avoid Lithium Plating
发表期刊:Journal of The Electrochemical Society
原文链接:DOI: 10.1149/1945-7111/abb70d
核心摘要:本研究通过结合实验(使用参比电极)与建模,揭示了温度如何影响锂离子电池在恒流与脉冲快充过程中的电化学行为,并确定了避免石墨负极析锂的“安全”充电条件(即“安全线”)。研究发现,虽然升高温度有助于快充,但超过45°C会因正极阻抗增加而对长期性能产生负面影响。研究指出,除超薄电极外,实现6C恒流充至80%容量而不析锂几乎不可能,但通过优化的脉冲策略可实现更高的平均充电速率。
锂离子电池的快充能力是电动汽车能否与传统燃油车竞争的关键因素之一。美国能源部(DOE)已将快速充电技术列为重点研发方向,目标是实现10分钟内充满80%的电量。然而,高倍率充电会带来一个严重问题:锂金属在石墨负极表面的析出。
当充电速率过高时,锂离子嵌入石墨的速度跟不上,导致负极电位急剧下降,当电位低于锂金属沉积的平衡电位(相对于Li/Li+为0 V)时,锂离子就会直接还原成金属锂沉积在负极表面。这种现象不仅消耗了可逆的锂源,导致容量衰减,沉积的锂枝晶还可能刺穿隔膜,造成短路,带来严重安全风险。
升高电池工作温度是提高离子迁移率、降低极化、从而抑制析锂的有效手段。但凡事皆有两面性,更高的温度也会加速电解质分解、正极材料溶解等副反应,同样会损害电池寿命。因此,探寻一个既能实现快速充电,又能避免析锂和性能衰减的最佳温度与充电策略窗口,成为了行业内的核心难题。
本研究正是在此背景下,通过精密的实验设计和理论建模,旨在定量地回答这个问题:在不同的温度下,到底多快的充电速度是“安全”的? 研究成果以“安全线”的形式直观呈现,为电池管理系统(BMS)的充电算法开发提供了至关重要的依据。

图1解读:本研究的关键在于精确测量负极电位。该示意图展示了一个内置锂金属参比电极的锂离子电池结构。其中,U为电池电压,φc和φa分别是相对于Li/Li+的正极和负极参比电极电位。真正决定是否发生析锂的是负极/电解质界面处的过电位ηa(即负极表面电位),它等于测得的参比电极电位φa加上电解质在隔膜中的压降Δφa(一个正值)。因此,实验通过监控φa是否降至0 V来作为避免ηa降至0 V(析锂热力学条件)的安全边界。
研究团队采用了NCM523(正极)//石墨(负极)软包电池,并关键性地在电池内部集成了一个直径为25微米的锂化铜丝作为参比电极。这使得在充电过程中能够实时、独立地监测正极和负极的电位变化。
实验主要分为两部分:
:电池在30°C, 37°C, 45°C, 55°C下,分别以0.2C至6C的倍率充电至固定的容量(87 mAh/g,以正极活性物质质量计),然后静置1小时,再以C/5倍率放电。
:电池在3.57 V电压下平衡,然后施加不同倍率(1C至8C)的矩形电流脉冲。脉冲要么是固定容量(2.5 mAh/g),要么是固定时长(120秒),但设置了一个关键的安全保护措施:
此外,研究还结合了多相电化学模型进行模拟。该模型的一个重要特征是考虑了锂在石墨中扩散系数的速率依赖性,即在高倍率下,锂的扩散会加速,这有助于更准确地预测高倍率下的电池行为。

图2解读:图2直观展示了不同温度下充电倍率对电池极化的影响。在30°C(图2a)和45°C(图2b)下,随着充电倍率(1C至6C)升高,充电曲线(实线)的电压平台显著升高,表明电池极化加剧。对比两图可以清晰看到,在45°C下,相同倍率充电时的极化电压明显低于30°C,证明升高温度确实有效降低了电池的整体极化。所有倍率下的放电曲线(虚线)基本重合,说明在实验设定的容量范围内,充电过程没有造成严重的不可逆容量损失。
研究的核心是监测负极电位。图4a展示了充电结束时,负极参比电极电位φa随充电倍率的变化。

图4解读:这是本研究最重要的实验成果之一。图4a显示,在30°C(蓝点)和45°C(红点)下,φa都随充电倍率增加而下降。通过多项式拟合(实线),可以找到φa降至0 V时对应的临界倍率,在30°C和45°C下分别为3.46C和4.64C。这意味着,在恒流充至87 mAh/g容量的条件下,30°C时超过3.46C,45°C时超过4.64C,负极就有析锂风险。
基于此,研究者绘制了恒流充电的“安全线”(图4b)。这条线定义了对于某一给定倍率,最大的“安全”充电容量是多少。只要充电策略(倍率与容量)落在这条线下方,就可以避免析锂。对比两条温度下的安全线可以看出,虽然升温降低了极化,但允许的安全倍率提升相对有限(仅从~3.5C提高到~4.6C)。
脉冲充电提供了比恒流充电更灵活的快充策略。图6展示了在30°C下脉冲开始时和脉冲期间不同时刻,负极电位φa与脉冲倍率的关系。

图6解读:在脉冲施加后的极短时间内(t=0.04s),φa的下降主要来自欧姆压降(直线与Y轴交点)。随着脉冲持续,由于扩散和法拉第过程的限制,φa随时间进一步下降。通过将不同时刻的φa与倍率进行线性拟合并外推至φa=0,可以预测出在不同脉冲持续时间下避免析锂的最大允许脉冲电流。这种方法无需让电池实际达到析锂条件,即可绘制出安全边界。

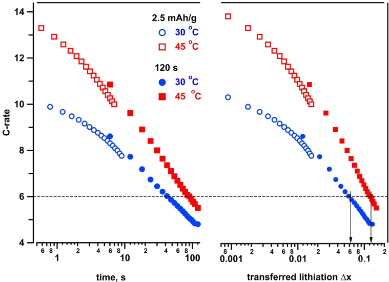
图10解读:图10综合实验数据,绘制了脉冲充电的“安全线”。它有两种表达方式:图10a是以脉冲持续时间作为横坐标,显示了在不同温度下,要维持一定时长的脉冲而不析锂,所能使用的最大脉冲倍率;图10b则是以脉冲转移的锂量(Δx)为横坐标。清晰可见,在任何脉冲时长或转移锂量下,45°C所允许的安全脉冲电流都显著高于30°C。 例如,对于6C脉冲(水平虚线),在30°C下安全转移的容量为8.5 mAh/g,而在45°C下可达17.2 mAh/g,是前者的两倍多。这表明脉冲充电结合适当升温,能极大地提升快充能力。
实验测量的是参比电极处的电位φa,但析锂实际发生在负极/电解质界面,其驱动力是界面过电位ηa。如图1所示,ηa = φa + Δφa(隔膜中的电解质压降)。因此,φa=0 是一个保守的安全边界,真实的析锂边界是 ηa=0。
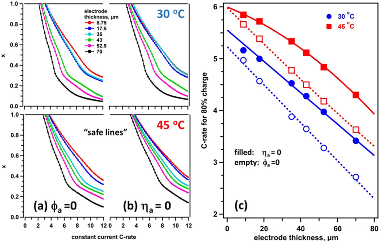
研究者利用经过实验数据校准的电化学模型,将安全边界从φa=0 推进到了 ηa=0。图12展示了模型模拟的不同厚度电极的恒流充电安全线。

图12解读:图12b和12c给出了基于ηa=0(实心圆和实线)的更真实的安全边界。图12c特别指出,要实现80%容量填充而不析锂,所能承受的最大恒流充电倍率随电极厚度变化。 对于常用的70μm厚电极,在45°C下,安全充电倍率仅为4C左右。一个非常重要的结论是:模型预测表明,即使对于非常薄的电极,要想实现6C恒流充至80%容量而不析锂,也几乎是不可能的。 这凸显了单纯依靠恒流充电实现极端快充的局限性。
模型的预测同样应用于脉冲充电,图14扩展了实验的“安全线”,给出了ηa=0的边界。

图14解读:空心符号代表φa=0的实验边界,实心符号代表模型预测的ηa=0的真实析锂边界。两者之间的差距随着倍率升高而增大,这主要是由于高倍率下隔膜中的欧姆压降Δφa增大所致。这意味着,基于φa=0的实验控制策略,在实际应用中提供了一个宝贵的安全裕度。
尽管升温有助于快充,但研究也确认了其代价。表I和图S7(补充信息)的数据表明,将电池在较高温度(尤其是55°C)下暴露约95小时后,再回到30°C测量,电池的容量衰减和阻抗增加(特别是正极阻抗)更为显著。这表明长期暴露在高温下,尤其是超过45°C,会对电池性能产生不可逆的负面影响,抵消了因扩散加快带来的好处。因此,在实际应用中,需要采取策略(如快速预热、充电后及时冷却)来限制电池在高温下的暴露时间。
本研究通过精密的实验和先进的建模,系统地阐明了温度对锂离子电池快充行为的影响,并绘制了避免析锂的“安全线”。其主要结论可总结为以下几点:
温度是一把双刃剑:升高温度(至45°C)能有效降低极化,允许更高的充电电流(恒流下安全倍率从~3.5C提升至~4.6C;脉冲下安全传输电量可翻倍)。但温度超过45°C后,正极阻抗显著增加,对长期性能有害。
恒流快充的极限:对于常规厚度(如70μm)的电极,在不析锂的前提下,实现6C恒流充电至80%容量是极其困难的。即使升温到45°C,最大安全倍率也仅在4C左右。这指向了需要发展更薄电极等新电池设计。
脉冲充电的潜力:脉冲充电策略结合实时电位监控(φa=0),能够实现比恒流充电高得多的平均充电速率,且安全可控。这是实现极端快充的一条可行路径。
“安全线”的指导价值:本研究提供的“安全线”为电池管理系统的充电算法开发提供了定量依据。未来的BMS可以根据电池温度、当前电压/容量状态,动态调整充电电流(恒流或脉冲),使其始终运行在“安全线”以下,从而在保障电池寿命和安全的前提下,最大化充电速度。
这项研究不仅深化了对锂离子电池快充过程中基础电化学现象的理解,更重要的是,它将复杂的科学问题转化为了可供工程实践直接应用的“设计指南”。随着电池材料(如更高电导率的电解质、低曲折度电极)和热管理技术的不断进步,结合此类智能充电策略,电动汽车的“充电像加油一样快”的愿景正逐步走向现实。
本研究通讯作者为Daniel P. Abraham博士,他是美国阿贡国家实验室化学科学与工程部的资深科学家,是锂离子电池材料与诊断技术领域的国际知名专家,长期致力于电池衰减机理、界面现象和先进表征技术的研究。第一作者Marco-Tulio F. Rodrigues博士及其他合作者(Ilya A. Shkrob博士, Andrew M. Colclasure博士等)均来自阿贡国家实验室或美国国家可再生能源实验室(NREL),他们在电化学建模、实验设计和电池原型开发方面具有深厚的积累。该团队在锂离子电池快充系列研究方面已发表多篇高水平论文,为本领域的进展做出了重要贡献。
文章来源:电池课堂
特别声明:本站所载图文内容均来源互联网,微信公众号等公开渠道,我们对文中观点保持中立,出于更直观传递信息之目的转载稿件,仅供参考。版权归原作者和机构所有,并不代表本网赞同其观点和对其真实性负责。如有侵权,或涉及任何第三方合法权利,请及时联系我们删除(微信:CintaZz7),我们会及时反馈并处理完毕。