研 究 背 景
迄今为止,商业化锂离子电池多采用具有挥发性和易燃性的有机电解质,存在一系列安全问题。而固态电解质因其固有的高安全性和良好的热稳定性,受到广泛关注。其中,聚合物电解质(SPE)具有柔性、制造工艺简单和界面接触良好等优势,但也存在室温离子电导率低、正负极界面稳定性差,以及相对较窄的工作电压窗口等问题。将活性无机填料分散在聚合物基体中,形成复合聚合物电解质(CPEs),有利于提高离子电导率和机械强度。此外,增塑剂的引入可以进一步提高CPE的离子电导率。
然而,单一的CPE能隙仍然很窄,不能扩大电解质的电化学窗口。构建双层聚合物电解质有望解决上述问题。然而,双层SPE会造成额外的聚合物/聚合物电解质界面电阻、低电解质界面兼容性和不连续的Li+迁移路径。因此,需要设计和构建具有高离子电导率、低界面电阻和强抗氧化能力的双层SPEs。
成 果 简 介
近日,上海硅酸盐研究所黄富强教授和卧龙岗大学Nana Wang在Advanced Materials上发表了题为“Quasi-Double-Layer Solid Electrolyte with Adjustable Interphases Enabling High-Voltage Solid-State Batteries”的论文。该工作通过向聚偏二氟乙烯(PVDF)基CPE中添加具有高氧化稳定性(碳酸丙烯酯)和高还原稳定性(二甘醇二甲醚)的增塑剂,提出了一种新型准双层复合聚合物电解质(QDL-CPEs)。碳酸亚丙酯的原位聚合,可以形成正极电解质界面(CEI)膜,增强抗氧化能力。二甘醇二甲醚与PVDF之间的亲核取代反应增加了电解质在负极侧的还原稳定性,抑制锂枝晶形成。QDL-CPEs具有高离子电导率、宽电化学窗口、稳定的电极/电解质界面,且没有额外的电解质-电解质界面电阻。因此,QDL-CPE提高了NCM811//QDL-CPE//硬碳全电池在室温下的循环性能。
研 究 亮 点
(1)将还原稳定性高的二甘醇二甲醚(DGM)添加到与负极接触的PLL-CPE(D-PLL-CPE)中,将易聚合的碳酸丙烯酯(PC)添加到与正极接触的PLL-CPE(P-PLL-CPE)中,使接触正、负极的CPE具有不同的表面特性,且没有额外的电解质-电解质界面电阻;
(2)通过PC的原位聚合在NCM811上形成了人造CEI层,从而增强了P-PLL-CPE的抗氧化能力;
(3)在负极侧,由于DGM中的含氧官能团与PVDF的亲和力较强,拓宽了D-PLL-CPE的电压窗口,促进了锂盐的解离,改善了锂离子的传输。
图文导读
1. QDL-CPE设计和物理特性

图1、a)QDL-CPE和PSSB的设计策略示意图;b-d)SEM图像和e)QDL-CPE老化前后的离子电导率。
图1a显示,为了同时满足正极侧高压兼容性和负极侧低的负极反应性,在PLL-CPEs中加入不同的增塑剂PC和DGM,得到P-PLL-CPE和D-PLL-CPE,形成QDL-CPE。与传统的双层CPEs不同,QDL-CPEs的设计除了增塑剂外,基本成分相同,可以消除不同电解质的接触界面,从而避免高的界面电阻。因此,基于PVDF、LLZO、LiTFSI和PC或DGM的分子间相互作用,QDL-CPE有望在正极和负极上实现高电压兼容性、高离子电导率和电极/电解质界面稳定性。
扫描电子显微镜(SEM)图像显示(图1b-d),与单一CPE相比,初始QDL-CPE中存在可见的聚合物/聚合物界面。然而,老化后,QDL-CPEs中的可见界面消失了,这意味着QDL-CPEs中几乎没有界面电阻。此外,图1e显示,在老化前,由于QDL-CPE中聚合物/聚合物界面的存在,单一CPE显示出比QDL-CPE更高的离子电导率。老化后,它们显示出相似的离子电导率,室温下约为1.3×10-4S cm-1,进一步证实QDL-CPE中的D-PLL-CPE和P-PLL-CPE之间几乎没有界面阻抗。因此,QDL-CPE可以保持高离子电导率、紧密的电极-电解质界面,并有望在正、负极应用上具有独特的界面电化学特性。
图2a-c显示,P-PLL-CPE能够完全包覆NCM811颗粒,并构建共形涂层,形成厚度为15-30 nm的人造CEI层。在人造CEI层和NCM811之间没有产生空隙(图2c),意味着它在循环过程中是稳定的,且没有接触损失。

图2、 a,b)5个循环前后,P-PLL-CPE中NCM811的SEM图像;c)P-PLL-CPE中NCM811 5个循环后的TEM图像;d,e)D-PLL-CPEs中硬碳在5个循环前后的SEM图像;f)5个循环后,D-PLL-CPE中硬碳的HRTEM图像;NCM811正极侧P-PLL-CPE的g)F1s和h)C1s的高分辨率XPS光谱;硬碳负极侧D-PLL-CPE的i)F1s和j)C1s的高分辨率XPS光谱。
对于负极侧,由于锂金属的不稳定性,锂负极被硬碳取代。图2d显示,硬碳覆盖有一层D-PLL-CPE,表明硬碳与D-PLL-CPE具有良好的兼容性。SEM和高分辨率透射电子显微镜(HRTEM)图像(图2e、2f)显示,循环后硬碳上的D-PLL-CPE层消失,表明负极侧没有钝化层,这将有利于锂离子的运输。
此外,XPS显示,在PVDF基电解质中原位形成了LiF(图2g-j)。预先形成的LiF分散在电解质中,Li+导体的空间电荷层,促进离子传输(图2g和2i)。图2h和2j显示,循环后C1s的信号基本保持不变,表明LiF的形成没有影响聚合物的稳定性。
2. 电解质键合和氧化还原特性的分析

图3、P-PLL-CPE的a)FTIR光谱和b)SSNMR光谱;c)基于密度泛函理论(DFT)计算电解质组分的HOMO和LUMO能级;D-PLL-CPE的d)FTIR光谱和e)SSNMR光谱;f)解离能和吸附能的比较。
为了深入了解电解质中的分子间相互作用,通过傅里叶变换红外光谱(FTIR)和固态核磁共振(SSNMR)对P-PLL-CPEs和D-PLL-CPEs进行了表征。图3a显示,1400和1790 cm-1处的峰归因于P-PLL-CPE中PC的C-O-C和C=O振动。在与NCM811混合后向低波数转移,表明PC在NCM811表面聚合成PPC。SSNMR中的13C进一步证实了这一点(图3b)。19 ppm处的峰归因于P-PLL-CPE中的PC增塑剂,当与NCM811混合时,该峰向低角度移动,说明PC发生开环聚合。当PC聚合成PPC时,HOMO轨道能的降低表明,氧化稳定性提高(图3c),更有利于保护处于充电状态的正极材料。
在D-PLL-CPE的制备过程中,DGM中C-O-C振动(图3d)从1100 cm-1转移到1175 cm-1,表明DGM和PVDF之间发生了亲核取代反应。此外,在SSNMR谱中,PVDF中44 ppm的C-H峰明显分裂,表明DGM与PVDF的C-H键相连(图3e)。将D-PLL-CPE与硬碳混合后,共聚物(PVDF-DGM)没有结构变化,即使在循环后也没有变化(图3b)。PVDF中的氢被DGM取代后,LUMO从-0.77 eV变为-0.38 eV,提高了D-PLL-CPEs的还原稳定性(图3c)。此外,PVDF-DGM对Li+的吸附能(-379.63 KJ/mol)高于PVDF对Li+的吸附能(-369.46 KJ/mol)(图3f),表明PVDF-DGM更有利于LiTFSI的解离,从而增强Li+的传输。
3. 原位电化学共焦系统(ECCS)测试

图4、a)循环期间的充放电曲线和体积变化;b)在不同充放电状态下的照片。
负极/电解质界面上的锂枝晶生长和循环过程中电极的膨胀和收缩变化,会破坏电极-电解质界面,导致电池的电化学性能变差。因此,采用原位ECCS表征来研究D-PLL-CPE/硬碳界面的结构和化学稳定性。图4a显示,基于插层机制,硬碳几乎没有体积膨胀。D-PLL-CPEs充电时收缩,放电结束时膨胀。
图4b显示,在老化前后可以观察到紧密的D-PLL-CPE/硬碳界面。Li+插入后,硬碳区变黄。当脱出Li+时,颜色逐渐恢复到之前的状态。但插入的Li+不能完全脱出,导致库仑效率(CE)损失。然而,在硬碳和D-PLL-CPE之间的界面处,没有形成锂枝晶。稳定且紧密的D-PLL-CPEs/硬碳界面,可以降低局部电位,从而避免锂枝晶的形成。此外,在D-PLL-CPEs/硬碳界面中,没有发现接触失效,这将有助于实现优异的倍率性能和循环稳定性。
4. PSSB的电化学特性

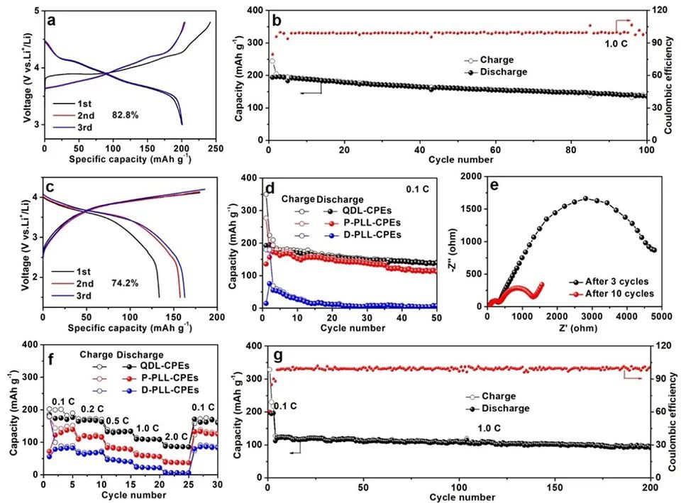
图5、NCM811//QDL-CPEs//Li的a)充放电曲线和b)在1 C下的循环性能;c)NCM811//QDL-CPEs//硬碳的充放电曲线;d)基于不同电解质的PSSB的循环性能;e)NCM811//QDL-CPEs//硬碳在不同循环下的EIS光谱;f)基于不同电解质的PSSB倍率性能;g)NCM811//QDL-CPEs//硬碳在1 C下的长循环性能。
图5a-b显示,当将高压NCM811正极与锂金属负极匹配时,NCM811//QDL-CPEs//Li电池在3-4.8 V的电压范围内,显示出82.8%的高初始库伦效率(ICE),100次循环后保持136.5 mAh g-1的比容量,没有形成锂枝晶,表明QDL-CPE具有高抗氧化能力,宽电化学窗口和稳定的界面特性。图5c显示,NCM811//QDL-CPEs//硬碳电池的ICE为74.2%。此外,与纯P-PPL-CPE和D-PPL-CPE电池相比,QDL-CPE电池具有更高的容量和更长的循环稳定性(图5d),说明QDL-CPE可以满足不同的正、负极界面特性要求。
图5e显示,多次循环后电荷转移电阻(Rct)变小,但界面电阻(Rf)几乎保持不变。这意味CEI是稳定的,在循环过程中没有形成新的钝化层,并且电极材料没有结构变化。较小的Rct将有利于提升倍率性能。NCM811//QDL-CPEs//硬碳电池在0.1、0.2、0.5、1和2 C时的容量,分别为174.6、167.4、132.1、109.2和87.9 mAh g-1。当电流密度恢复到0.1 C时,容量恢复到170.1 mAh g-1(图5f)。即使在1 C下,200次循环后仍具有80.2%的容量保持率(图5g)。
总结与展望
本文通过将不同种类的增塑剂PC和DGM引入PVDF/LLZO/LiTFSI CPE中,提出了QDL-CPE的新概念。在QDL-CPE中,没有额外的电解质-电解质界面电阻,且可以同时实现高离子电导率、宽电化学窗口和界面稳定性。双层电解质使得在正、负极上形成不同的界面,其中在NCM811正极侧可以获得稳定的类CEI层,而在硬碳负极上则不含SEI。此外,在循环过程中没有生成锂枝晶。其次,PC的原位聚合可以增强P-PLL-CPEs的抗氧化稳定性,而DGM和PVDF的亲核取代反应,可以提高D-PLL-CPEs的低电压稳定性。最后,PVDF-DGM更有利于锂盐的解离,促进Li+的传输。所有这些优点都提高了NCM811//QDL-CPEs//硬碳全电池在室温下的电化学性能。
文献链接
Quasi-Double-Layer Solid Electrolyte with Adjustable Interphases Enabling High-Voltage Solid-State Batteries. (Advanced Materials,2021, DOI: 10.1002/adma.202107183)
文章来源:锂电前沿
特别声明:本站所载图文内容均来源互联网,微信公众号等公开渠道,我们对文中观点保持中立,出于更直观传递信息之目的转载稿件,仅供参考。版权归原作者和机构所有,并不代表本网赞同其观点和对其真实性负责。如有侵权,或涉及任何第三方合法权利,请及时联系我们删除(微信:snan2109;QQ:906945059),我们会及时反馈并处理完毕。