电池极片是一种颗粒组成的涂层,均匀地涂敷在金属集流体上。极片涂层主要由三部分组成:(1)活性物质颗粒;(2)导电剂和黏结剂相互混合的组成相(碳胶相);(3)孔隙,填满电解液。电池极片是离子和电子的混合导体,离子传输路径主要是孔隙内电解液(电极尺度),电解液/电极界面,二次颗粒内部的一次颗粒间孔隙(团聚颗粒尺度)和活性颗粒内部扩散(晶格尺度),如图1所示;电子传输路径主要是导电剂和活性固体颗粒。离子和电子传输过程详细介绍点击链接(极片中的电子与离子传输)阅读。

图1 离子和电子传输示意图
电极是电池内部电化学的反应区域,离子和电子传输阻抗是限制性能发挥的主要因素。因此电极结构的优化设计直接决定着电池性能,主要包括组分比例、孔隙结构、各组分的分散状态及电极面密度及其均一度、比表面积等参数,本文分享具有普适性的极片孔隙率和面密度优化设计公式。
文章首先构建了基于物理的模型,并用真实的实验数据验证。使用模型来优化电极尺度设计参数,结果表明团聚颗粒和晶体尺度的输运特性对优化电池能量密度所需的电极尺度设计参数没有显著影响。在确定的倍率情况下,电极最优参数遵循一个通用的设计规则,获得了孔隙率和面密度优化设计公式,目前该公式没有考虑循环稳定性。
对于应用于高能量密度的厚电极,电极尺度上的离子传输过程是电池性能受限的主要因素。为了最大程度地减少电极尺度传输损失并获得最高的能量密度,可以通过采集电极二维照片来优化电极孔隙率和活性材料负载。其中,电极的迂曲度是电极设计优化中不确定主要因素,因为它难以直接测量,但会对电极尺度的离子传输产生重大影响。如图2所示,为了在给定倍率下最大化电池的体积能量密度 ( EV ),需要考虑两个相互竞争的方面:一方面,增加活性材料的面密度或使电极更致密(孔隙率低)可以更有效地减少电池体积来增加电池的体积能量密度,但这会导致离子在电极内的缓慢传输,从而降低电极料的利用率;相反,另一方面,使用薄而多孔的电极能够使电极充分利用,但这种设计会导致低体积能量密度。因此,电极设计需要在提高电极利用率和增加质量负载(或降低电极孔隙率)之间找到平衡,这是优化设计高负载电极的关键。

图2 电极设计示意图和不同倍率下的能量密度以及优化的孔隙率和面密度
电极优化设计模型
模型首先假设电极中的导电剂略高于导电网络渗透阈值,电子传导不受限制。采集电池极片的二维照片或者根据电极参数计算获取电极涂层的孔隙率(关于孔隙率的相关内容:锂电池P2D模型参数获取:孔隙率 )和厚度,然后根据以下公式可以计算电池的体积能量密度Ev

其中,EA是单位面积内的电池放电能量,可对放电容量-电压曲线时间积分,然后除以正极涂层的面积求得,计算公式为(公式中iapplied是加载的单位电极面积的电流密度,即加载电流/电极涂层面积):

正极的电极涂层厚度Lcathode可根据电极活性材料的面密度MA(涂层面密度*活性材料比例)、正极活性材料压实密度VAM(涂层压实密度*活性材料比例)和电极涂层活性材料体积分数VAM计算:

如果N/P=1,那么负极的电极涂层厚度Lanode为:

其中,Q表示正负极材料的克容量,εanode为负极涂层孔隙率,Pgraphite为负极石墨的真密度。其它非活性组件厚度LBOC包括隔膜Lseparator、负极集流体Lccanode和正极集流体Lcccathode。

通过实验数据或者电池模型获取电极参数和不同倍率下电池放电能量,计算电池体积能量密度,建立电极设计参数和电池体积能量密度关系,就可以获得不同倍率下的优化电极设计。
团聚颗粒尺度参数对能量密度的影响
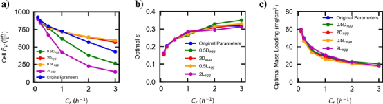
电池性能除了受电极尺度影响外,还受到更小尺度上的离子传输阻抗的影响,比如活性物质团聚颗粒。根据制造工艺和材料的选择,团聚颗粒的尺寸 ( L agg ) 和团聚颗粒内的有效扩散系数( D agg ) 可能会有所不同。这些参数对性能的影响如图 3a所示,展示了最佳能量密度与倍率C r的关系。最佳能量密度随着D agg的增加或L agg的减少而提高。改变L agg比改变D agg对最佳能量密度EV的影响更大,因为锂扩散的时间常数
。
尽管较小尺度的离子传输阻抗会影响最佳E V,但这些参数不会影响电极尺度参数的最佳设计。如图3 b 和 c 所示,虽然不同颜色的曲线具有不同的团聚尺度参数,但最优 ε 和最优 M A都重叠,表明具有不同团聚尺度特性下最大化EV时获取的电极尺度优化设计值相同。因此,电极尺度设计不受更小尺度特性的影响,即使每种不同的活性材料具有不同的小尺度特性,电极尺度设计参数的优化准则也一样。

图3 (a)不同的Lagg和Dagg下获得的最佳能量密度EV。原始参数是指Lagg= 5 μm 和Dagg= 1.4 × 109cm2 s-1。(b,c)由假设的Lagg和Dagg得出的最优ε和MA。
电极涂层迂曲度的影响
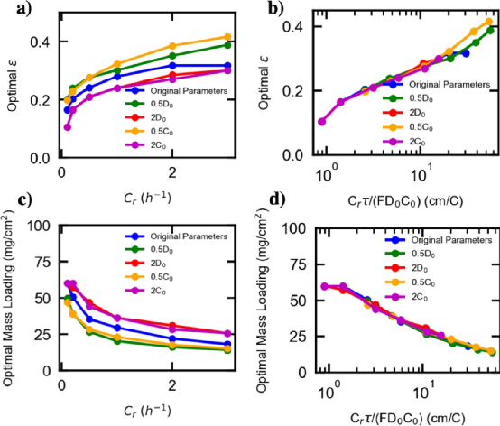
电极迂曲度 (τ) 可能取决于多个参数,包括孔隙率、活性材料形态以及导电剂和粘合剂的类型。此外,迂曲度可能取决于制造工艺过程的细节。最大化能量密度优化电极设计的结果表明,最佳孔隙率和面密度强烈依赖于迂曲度。
球形颗粒均匀多孔电极的迂曲度τ可以根据Bruggeman方程由孔隙率ε估算:

但是,实际情况与公式有明显的偏差。例如,如果薄片垂直于扩散方向堆叠,即由二维纳米片组成的电极在给定的孔隙率下将具有更高的迂曲度。图 4 a 和 c 是假设的迂曲度与孔隙率的Bruggeman 类关系下最佳孔隙率和面密度,将迂曲度增加了多达 4 倍,还假设了一个迂曲度=1的极端情况(黑线)。随着迂曲度的增加,电解质的锂离子有效扩散系数降低,这需要更大的最佳孔隙率和更低的最佳面密度,以保持良好的电极利用率。
如果倍率 (Cr )乘以迂曲度τ,则最优值落在一条曲线上,如图4 b 和 d 所示。

图4 最佳电极参数取决于假设的迂曲度(a,c)。如果 Cr乘以τ,则最优 ε 和 M A遵循单一曲线规律 (b,d)。
电解液性能差异的影响
对于不同的材料,固有的电解质特性也可能因锂盐浓度和溶剂的变化而变化。如图5a和 c 所示,具有较低扩散系数 ( D 0 ) 或较低盐浓度( c 0 ) 的电解质需要较高的最佳孔隙率和较低的最佳面密度。如果Cr乘以τ/(FD0c0),我们发现不同电解液性能时最优电极设计值重叠,如图5 b 和 d 所示。这些结果表明,可以将最优电极设计规则推广到具有不同电解液的体系。

图5 最佳电极参数取决于电解液性能(a,c)。原始参数D 0 = 1 × 10 -6 cm 2 s -1,c 0 = 1.0 M。当绘制为Cr τ/(FD0c0)-Ev曲线时, 最优 ε 和 M A遵循单一曲线规律(b,d)。
总之,以Cr τ/(FD0c0)作为横坐标,不管哪种活性材料种类和特性,不管哪种电解液,电极尺度最优 ε 和 M A遵循单一曲线规律,最优电极设计规则具有普遍适用。
电极设计准则的实验验证
以上分析都是基于P2D电池模型模拟结果,实验对模拟结果进行验证。如图6所示,P2D 模型在较小的尺度上具有不同的物理特性,但电极尺度的设计公式是相同的。

图6 不同粒径不同种类活性材料SEM照片和放电曲线模拟结果与实验对比
假设石墨作为负极,容量比n/p为 1,固定负极孔隙率为 0.35,不同正极材料的电池电极的优化结果如图7所示。

图7 4种不同材料的电极最佳设计结果。。阴影区域是达到最大E V的 95%来指示参数值的敏感性。黑色虚线表示Cr和最佳设计之间的拟合相关性。
普适性电极优化设计准则
如图7中黑色虚线所示,得到了描述通用电极设计最优参数与广义倍率Cr的两个关系:

其中面密度MA用面容量QA表示:

总之,电池是复杂的多尺度系统,不同尺度的离子传输阻抗会影响性能。通过实验验证的多尺度物理模型表明电池电极尺度离子传输的优化不受小尺度材料特性的影响。考虑盐扩散率、盐浓度和电极迂曲度,将广义电极尺度优化应用于多个电极,获得简单的相关性。
参考文献:[1] Hui Z , Mayilvahanan K S , Ganko K , et al. Optimal Electrode-Scale Design of Li-Ion Electrodes: A General Correlation[J]. Energy Storage Materials, 2021, 39.
文章来源:锂想生活 锂
特别声明:本站所载图文内容均来源互联网,微信公众号等公开渠道,我们对文中观点保持中立,出于更直观传递信息之目的转载稿件,仅供参考。版权归原作者和机构所有,并不代表本网赞同其观点和对其真实性负责。如有侵权,或涉及任何第三方合法权利,请及时联系我们删除(微信:snan2109;QQ:906945059),我们会及时反馈并处理完毕。