锂离子电池一般有圆柱卷绕、方形卷绕和叠片三种组装方式,如图1所示。与叠片电池相比,不管圆柱卷绕还是方形卷绕,卷芯都存在弯曲部分,曲线偏离直线的程度可以用曲率表示,即数学上表明曲线在某一点的弯曲程度的数值。

图1 锂离子电池组装方式

图2 曲线C在M点的曲率定义示意图
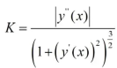
曲率的数学定义如图2所示,设M为曲线C上任一点,在点 M处作曲线的切线T和法线DM,在曲线的凹向一侧法线上取点D使

以D为中心,R为半径的圆叫做曲线在点M处的曲率圆(密切圆),R叫做曲率半径,D叫做曲率中心,K即为曲线C上M点的曲率,数值等于曲率半径R的倒数。曲率计算方法为:如果曲线y=f(x)在M点一阶导数为y’和二阶导数为y’’,则曲率为:

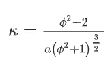
对于圆柱卷芯,卷绕电极可用阿基米德螺旋线表示,此时卷芯任意一点的曲率 κ为:

其中,φ为该点的极角(即卷绕的角度),螺线参数a计算方法为:

dascs是卷芯中基本组成单元的厚度,相当于正极、负极极片的厚度和两层隔膜的厚度,如图3所示。

图3 电池基本组成单元及其厚度示意图
图4a显示了三种电极组厚度dascs情况下曲率与卷绕圈数的函数。由图可知,当dascs较低,即更薄的电极时,电极的曲率较高;卷绕内核中的曲率相对较高(0.5~5 mm−1),但是该部分通常不填充电极,即空的或由心轴支撑。如果电极没有弯曲(方形卷绕中的平坦部分)双面涂布电极结构示意图如图4b所示;而电极弯曲时,如图4c所示,电极曲率和涂层厚度可能会引起面向电池芯(凹面)和电池外壳(凸面)的电极涂层的差异,即面向电池外壳的电极涂层被解拉伸,而面向电池芯的电极涂层被压缩,这最有可能导致电极涂层朝向电池芯的压缩机械应力和较低的孔隙率。

图4 .a) 圆柱形电池的电极曲率。左侧的阴影区域表示卷芯内核。圆形、三角形和正方形分别典型卷芯的核心末端,以及 18650 和 21700 电池的外部绕组。b)无弯曲电极和 c)弯曲双面涂层电极的比较图示。
其实,在不同类型的商用圆柱形细胞的失效分析中也发现了负极两面涂层的粘附差异。在老化的电池中,对于较厚的电极涂层、靠近卷芯核心的内部绕组以及面向电池芯的涂层的附着力损失通常更强,而这些正是曲率比较大的情况。另外,电极涂层一侧被拉伸、一侧被压缩,也会导致单位面积内的容量差异,从而引起电池正负极的N/P比变化,进而影响电池性能。
为了更明显看到这种由于曲率引起的性能差异,Mussa等对NMC/石墨商业化电池进行日历老化和循环老化,循环老化以恒定电流1C充放电速率在20%-80%的荷电状态(SOC)之间进行,直到容量下降到电池开始(BOL)容量的75%。循环后的电池在充满氩气的手套箱中拆解分析,同时为了对比,另一组电池在3.5 V和25°C下储存12个月进行日历老化。

图5 方形卷绕电池的卷绕示意图,平坦区域曲率为0,拐角处存在曲率。
电池的初始额定容量为 25 Ah,尺寸为148×26.5 × 91 mm。两个循环老化的电池容量衰减曲线,以及循环开始(BOL)和结束(EOL)时刻的放电曲线一致性较好,如图6所示。

图6 两个循环老化电池的(a)容量衰减曲线,(b)循环开始(BOL)和结束(EOL)时刻的放电曲线,两者一致性较好。
循环后的电池拆解,分别收集平坦区域和拐弯处的电极(如图5所示),组装成NMC / NMC对称电池,分别对比研究了不同区域的电极内凹面(面向电芯内核)和外凸面(面向电芯外部壳体)的涂层阻抗。阻抗结果如图7所示,弯曲处外部涂层的阻抗明显大于其他位置;弯曲处的内部涂层具有最小的阻抗,而平坦处的内部和外部涂层都位于两者之间。最明显的差异出现在高频半圆的直径上。这种高频半圆归因于涂层与集流体之间或涂层内部的接触电阻。由此可见,涂层的弯曲处电极外凸面和内凹面之间的局部阻抗存在差异。相比之下,扁平部分的电极外凸面和内凹面的阻抗相似。

图7 NMC / NMC对称电池的奈奎斯特图,虚线表示重复的样本。(a)卷芯内部r=9mm;(b)卷芯外部r=12mm。
循环后活性电极层与集流体的接触损耗差异可能是由机械应力的差异引起,曲率引起的弯曲应力与扩散引起的应力共同作用。存在曲率的电极外凸面经历拉伸应力,内凹面经历压应力。此外,在电池循环期间,电极的锂化和脱锂过程中,面内应力的大小可能也会有很大差异。最严重的载荷出现在外凸面涂层中,循环疲劳载荷被添加到拉伸弯曲应力中。这种类型的循环载荷可导致横向微裂纹,从而发展成活性层的局部开裂。仅由几何曲率引起的弯曲应力而没有电化学循环贡献时,这种曲率应力效应引起的阻抗差异非常小,弯曲应力和锂化和脱锂循环过程的疲劳载荷的结合而引起的阻抗差异最明显。
与方形卷绕电池相比,圆柱形卷绕电池的紧凑设计可能会减少集流体与电极朝外涂层之间的接触损耗。从接触损耗的角度来看,叠片电池平面袋电极在外部提供机械强度约束时,比方形电池更具有优势,因为不存在曲率加剧接触损耗的情况。另外,对于电极设计,还要考虑复合电极中粘合剂材料的含量、化学性质和分布对活性材料与集流体附着力的影响。
参考文献
[1]Mussa A.S., Lindbergh G., Klett M., Gudmundson P., Svens P., Lindström R.W. Inhomogeneous active layer contact loss in a cycled prismatic lithium-ion cell caused by the jelly-roll curvature, J. Energy Storage, 20 (2018), pp. 213-217
[2]Thomas Waldmann, Rares-George Scurtu , Karsten Richter , Margret Wohlfahrt-Mehrens. 18650 vs. 21700 Li-ion cells – A direct comparison of electrochemical, thermal, and geometrical properties, Journal of Power Sources 472 (2020) 228614
文章来源:锂想生活
特别声明:本站所载图文内容均来源互联网,微信公众号等公开渠道,我们对文中观点保持中立,出于更直观传递信息之目的转载稿件,仅供参考。版权归原作者和机构所有,并不代表本网赞同其观点和对其真实性负责。如有侵权,或涉及任何第三方合法权利,请及时联系我们删除(微信:snan2109;QQ:906945059),我们会及时反馈并处理完毕。