
研究背景
恒电流间歇滴定技术(GITT)被认为是确定插入式电极材料中Li+ 扩散系数的首选方法。然而,基于GITT的方法要么费时,要么容易出现分析陷阱,要么需要复杂的解释模型。
近日,瑞典乌普萨拉大学Ångström实验室Daniel Brandell、瑞典Södertälje的Matthew J. Lacey提出了间歇性电流中断(ICI)方法,作为基于GITT的方法的可靠、准确和快速的替代方法。利用Fick定律,证明了ICI方法在电流中断后的一定时间内呈现出与GITT相同的信息。通过实验测量,还证明,在半无限扩散的假设下,ICI和GITT方法的结果是一致的。此外,通过将NCM811-based 电极中连续监测的Li+ 的扩散系数与operandoX射线衍射测量捕获的结构变化相关联,显示了非破坏性ICI方法对operando材料特性的好处。
该成果发表在国际顶级期刊《Nature Communications》上,第一作者是:Yu-Chuan Chien。
简介
随着电化学储能需求的激增,新系统的研究、开发和应用需要以越来越快的速度全面了解电化学特性。从材料化学家到应用工程师,关注的其中一个关键参数是电荷载体的扩散系数:即Li+。恒电流间歇滴定技术(GITT)一直是最广泛的应用方法,用于从电化学测量中得出扩散系数。从Fick第二定律衍生出来的GITT在1977年首次被证明适用于bulk Li3Sb电极。该技术包括两个重复的步骤。首先,在半无限扩散假设成立的时间内施加恒定电流。其次,电流被关闭,直到电压变得不变,这表明达到了平衡状态。通过分析在电流脉冲期间测得的电极电位和平衡电位的变化,GITT给出了带电离子的化学扩散系数。后来,该技术被应用于锂离子插入材料的多孔复合电极,这也是最先进的锂离子电池中大多数电极的形式。尽管由于复合电极的几何形状存在实际问题,如不均匀的电流分布,但如果选择适当的实验参数,例如适当的电流和电流脉冲的持续时间,该技术可作为确定扩散系数的有力工具。此外,更复杂的提取实验参数的方法增强了GITT的准确性和适用性,例如,只选择电压响应中受半无限扩散控制的部分,使用线性回归来得出其斜率,并将电压响应与更复杂的非Fick扩散模型相匹配。
然而,进行GITT测量所需的时间仍然是一个主要的缺点。为了达到平衡状态,测试单元必须放松的时间远远超过施加电流的时间。这导致一个实验可能比典型的电化学测试周期长8到100倍。尽管可以通过增加电流脉冲的持续时间和只选择初始数据点进行分析或引入恒定电位步骤代替弛豫步骤来加速试验,但这些方法要么减少扩散系数的测量次数,要么仍然需要大量的时间。此外,如此长的弛豫时间使GITT难以与同时进行的材料表征相结合,例如同步加速器和中子源的衍射或光谱分析,这可以在调查过程发生的那一刻提供宝贵的结构和/或化学信息。尽管最近的研究表明,通过对电压响应的非线性拟合可以减少弛豫时间,但先进的回归方法可能使该技术不容易被更广泛的材料化学界所接受。
本工作提出了一种高效、简单和无干扰的GITT替代方法:间歇性电流中断(ICI)方法。该方法在电池处于恒定电流循环时引入了重复的瞬时电流中断(通常为1至10秒)。通过对电流暂停期间电位变化对步长的平方根的线性回归,可以得出电阻的时间无关和时间有关的部分,分别称为内阻和扩散电阻系数。通过多孔电极模型,可发现,得出的扩散电阻系数与拟合电化学阻抗谱(EIS)测量时使用的Warburg元素的系数成正比。由于Warburg元素既描述了多孔电极中的电容行为,也描述了扩散过程,因此,ICI方法也可以描述电化学系统中的扩散过程,这是一个合乎逻辑的结果。
研究表明,ICI方法可以进一步发展,通过简单的数据分析,在不到GITT的15%的实验时间内得出扩散系数。理论推导证实,鉴于数据点是在电流中断后的有限时间间隔内,ICI方法中的电压反应与GITT中的反应类似。一个以NMC811为工作电极的实验例子证实了GITT、ICI和EIS方法在表征Li+ 扩散方面的等同性。最后, operando X射线衍射(XRD)和ICI方法的结合被证明可以将结构演变与锂离子迁移率直接联系起来。这个例子不仅说明了ICI方法在探测传输特性方面的效率,而且说明了它与操作技术的兼容性。此外,它还表明了可自动化的ICI方法作为锂离子电池健康状况评估工具的潜力。
主要内容
一、间歇性电流中断法的简述
间歇性电流中断(ICI)方法最初设计用于连续电阻测量。在扩散控制系统的恒定电流循环过程中,该方法引入了瞬时电流暂停,其中自电流(I)关闭以来的电极电位(ΔE)和时间(Δt)的变化可以表示为公式。

其中,EI 是电流关闭前的电位,R和k分别称为内阻和扩散电阻系数,它们是通过R编程语言20的脚本自动对ΔE与
进行线性回归,提取截距和斜率得出的。
GITT和ICI方法的应用由图1中不同周期的同一电池的部分原始数据来说明。在NMC811的工作电极上,ICI方法在恒定电流(C/10,C = 200 mA g−1 )充电过程中引入了短暂的停顿(每300秒10秒),而GITT在长时间休息(>1小时)之间应用短电流脉冲(C/10,600秒)以达到开路电位(OCP)。因此,ICI方法探测相同范围的电荷状态所需的时间不到GITT的15%。
图1:ICI和GITT方法的比较。

GITT和ICI方法都使用以下公式得出扩散系数(D)。

二、GITT和ICI方法的结果比较
图2:修改的GITT方法,旨在比较GITT、ICI方法和EIS的结果。

图3:由GITT、ICI方法和EIS得出的扩散阻力系数的比较。

图4:由GITT和ICI方法得出的OCP的斜率比较。

以得出结论,两种方法在3.7V以上一般是相互吻合的,而在3.8V以上可以找到一个更一致的匹配。这证明了ICI方法作为GITT的有效替代品的有效性。
图5:由GITT和ICI方法得出的锂离子扩散系数的比较。

图6:从GITT、ICI方法和EIS得出的内阻之间的比较。

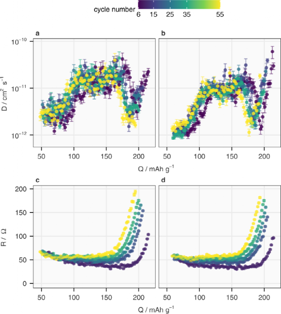
三、使用ICI方法连续测量扩散系数和内阻
图7:在长期循环过程中使用ICI方法连续测量扩散系数和内阻。

四、XRD和ICI方法的结合
ICI方法可以有效地与Operando XRD相结合,并实时跟踪扩散系数和内阻,这构成了进一步研究电池材料降解机制的宝贵方法。
图8:operandoX射线衍射与ICI方法相结合的结果。

结论
总之,这项工作为ICI方法作为GITT的有效替代品的应用建立了理论基础和实验验证。只要1)被研究的扩散过程在电流中断允许的最大时间内表现出半无限扩散行为,并且2)伪OCP斜率是真正OCP斜率的良好近似,ICI方法可以用更短的实验时间得出扩散系数。
在用NMC811进行的验证实验中,相比典型的GITT实验,可以节省所需时间的85%以上。此外,通过ICI方法确定的内阻和扩散阻力系数(或等价的Warburg系数)也被NMC811的EIS验证了。并对扩散率和电阻进行了有效测定,相对于GITT和EIS这些被认为过于耗时或耗资源的方法,是一种开创性的新应用,例如用于自适应充电制度的在线电池参数化和同时观察operando光谱/衍射仪和电化学阻抗/电阻。
https://doi.org/10.1038/s41467-023-37989-6
文章来源:电化学能源
特别声明:本站所载图文内容均来源互联网,微信公众号等公开渠道,我们对文中观点保持中立,出于更直观传递信息之目的转载稿件,仅供参考。版权归原作者和机构所有,并不代表本网赞同其观点和对其真实性负责。如有侵权,或涉及任何第三方合法权利,请及时联系我们删除(微信:snan2109;QQ:906945059),我们会及时反馈并处理完毕。