研究背景
自1991年起,锂电池已经取得了巨大成功,而电解液溶剂作为影响其性能的重要因素之一,目前仍以碳酸基为主,存在与新型电极结合性能较差,高电压下负极稳定性差、与锂金属不相容、温度耐受性差以及严重安全问题等。目前,研究人已经致力于探索新型电解液以适应高能量密度的锂电池体系,常见策略包括溶剂的分子结构工程设计离子液体和合成固体电解质等。相比之下,开发新型电解液更有助于快速商业化,在电解液溶剂分子中引入功能基团或独特组分,可以获得高性能电解液。研究发现,含有氟化溶剂的电解液可以克服与传统电解液相关的许多问题,例如不稳定的界面、在极端温度下的快速容量衰减和高可燃性等。但是,关于氟化溶剂仍有一系列问题需要总结和讨论:氟原子的数量和位置对电解液的物理化学性质有什么影响?氟对不同类型溶剂的影响是什么?引入含氟溶剂后,电解液中的溶剂化结构和界面相容性发生了哪些变化?因此,对含氟电解液的设计原理、合成方法进行分类总结,揭示其结构与电化学性能的关系,对氟化电解液的进一步发展具有重要指导意义。

文章简介
近期,南开大学陈军院士团队在Chemical Society Reviews上发表了题为“Emerging electrolytes with fluorinated solvents for rechargeable lithium-based batteries”的综述文章。本综述以氟基电解液溶剂基本性能和研究进展入手,结合对新型含氟溶剂的合成方法和反应机理的探讨,为不同电池体系电解液溶剂选择给出一般原则,并对未来氟化电解液的发展方向提出建议,这对电池领域研究人员设计高性能锂基电池体系具有重要指导作用,对开发高安全性实用化电池体系提供帮助。
内容简介
1、含氟溶剂的基本参数和设计原则
在本文中作者首先简要描述了电解液参与的电化学过程,然后讨论了溶剂或电解液基本参数,通过对不同类型的溶剂相关的进展和问题进行分析,总结了先进氟化溶剂的设计原则。
1.1 电解液基本参数
图1总结了电解液化学中的主要溶剂相关参数及其影响因素,包括熔点、沸点、粘度和介电常数等,发现在引入锂盐之后,以上参数会显著改变。
(1)熔点和沸点,是描述电解液物理性质的最常见参数,在决定电池的使用温度和安全性方面起着重要作用;
(2)粘度,主要与范德华相互作用力以及分子在流动过程中的自排列能力相关,例如氟化溶剂用于存在高电负性F-,粘度更高。
(3)介电常数,反映出原子间和分子间吸引力,是描述溶剂分子溶解盐的能力的重要物理性质,可以显著影响离子电导率、溶剂化结构以及界面性质等;
(4)溶剂化结构,对电解液的性质具有深刻和复杂的影响,包括离子电导率、电压窗口、去溶剂化屏障和界面化学等,目前不同的光谱技术和密度泛函计算已经被用来表征电解液的溶剂化结构,但仍具有挑战。
(5)离子导电性,用于描述正在进行的电化学反应过程中的离子运动情况,一定程度上决定着电池的功率密度,电解液离子电导率的半经验值须大于0.1 mS/cm-1,才可以确保电极表面处具有足够离子浓度。
(6)界面钝化能力,电极表面的钝化层来源于溶剂或盐等,通过将电解液组分与电极表面隔离、抑制正极处的过渡金属溶解以及减轻负极处的体积变化和活性材料损失,对决定电解液稳定性方面起关键作用;
(7)电压窗口,电解液的电压窗口取决于溶剂和相间化学的性质,电解液的热力学稳定电极电位在最高占据分子轨道(HOMO)和最低未占据分子轨道(LUMO)范围内;
(8)安全性,电解液的安全问题主要包括“燃烧和爆炸”,闪点(FP,即易燃或可燃液体的蒸气压达到最低可燃极限时的温度),是估计电解液热失控(烟、火和爆炸)的必要指标。

图1. 电解液相关参数及其影响因素
1.2 理想电解液设计原则
理想电解液溶剂需要具备以下特点:(1)低粘度高溶剂化能力,以保证快速离子迁移能力;(2)宽液相线和高闪点,以确保能够在不同条件下运行且不会影响性能或安全性;(3)宽电化学窗口或界面兼容性好,以兼容高能量密度锂金属负极等;(4)质量轻和润湿性良好,使其质量最小化并可以与电池的所有部件形成良好界面接触;(5)低成本和环保等。然而,目前大多数可用的溶剂不能满足理想电解液的所有要求,因此需要开发具有尽可能多的上述所需特性的新溶剂分子。
1.3 含氟电解液的性质
与非氟化溶剂相比,氟化策略可极大改变溶剂的物理化学性质,含有氟化溶剂的配制电解液可显著增强电池的电化学性质(图2)。

图2. 含氟电解液性质
(1)物理性质。氟化对物理性质的影响因不同的氟化溶剂而异,在氟化环状溶剂中,其熔点和介电常数随氟含量增加而降低,而氟化线性酯显示出相反趋势。氟化官能团的类型也影响氟化溶剂的性质,例如,具有C-F封端的氟化直链醚显示出比它们的非氟化对应物更高的粘度和相当的溶剂化能力,而在多氟化和全氟化溶剂的情况下会降低粘度和溶解锂盐的能力。因此,多氟化和全氟化溶剂能够作为独特介质来调节电解液的粘度、润湿性、可燃性和界面相容性等。
(2)溶剂化结构。氟原子的强吸电子性质可影响溶剂的溶剂化能力。Su等人研究了一系列电解液溶剂,发现氟化溶剂表现出比非氟化对应物更低的Li+溶剂化能力,其弱溶剂化能力可以增加溶剂化鞘中阴离子含量,从而增强Li+与阴离子相互作用能力。
(3)界面化学。氟化溶剂也可以增强界面层的性质。首先,氟化溶剂的降解会形成富含LiF或含F复合物的界面层(SEI或CEI),从而提供高的界面化学和机械稳定性。其次,在具有低溶剂化能力的氟化溶剂中独特的Li+-阴离子溶剂化结构也有利于LiF的形成,有助于形成致密且钝化良好的界面层,允许均匀的离子通量并降低界面电阻,但其不良离子导电性可能会降低碳基负极离子传输能力。
(4)界面传输。氟化可以降低电解液的离子电导率,平衡本体和界面传输是设计先进氟化溶剂中最重要的问题之一,氟的位置与分子的特征官能团的距离与溶剂及其配制的电解液的性质高度相关。
(5)氧化电位。氟的引入可以降低分子的HOMO和LUMO的能量,这可以诱导更高的氧化和还原电位,这导致在大多数氟化溶剂中与它们的非氟化对应物相比具有更高的氧化电压。此外,源自氟化溶剂或阴离子的分解的改进的界面化学使得能够将溶剂分子从侵蚀性阴极表面排出并隔离电子。
(6)高温和低温。高温条件(>50 ℃)下,会加速反应动力学,使电解液和电极之间副反应增加,形成的CEI和SEI通常较厚,易导致锂损失。此外,高温还会导致产生更多的HF、过渡金属(TM)溶解和气体释放,而引入氟化溶剂可以缓解这些问题。电解液的低温性能不仅与其溶剂的物理性质有关,而且与本体电解液和界面层中的离子传输和去溶剂化障碍有关,具有氟化溶剂的电解液中的改进的界面化学有利于在低温下的快速界面离子传输。
(7)集流体溶解。电池中的铝集流体在没有致密钝化层的情况下会受到电解液组分的电化学腐蚀,含氟溶剂的电解液中独特的Li+-阴离子溶剂化结构也有利于在Al表面上形成坚固的钝化层。
(8)安全性。引入氟有助于进一步降低电解液可燃性,如莫尼霍夫等人所证明的,磷酸盐的SET随着氟含量的增加而降低,全氟醚助溶剂也可以通过清除H降低溶剂的可燃性。
(9)气体释放。电极处电解液分解会引起电池热失控和性能退化等问题,同时产生气体(C2H4、H2、CO、CO2等),氟化电解液在减少气体产生方面还有待进一步探索,如氟化醚只可以减少但不能完全消除气体。
1.4 各种氟化溶剂的比较
为了更好地理解各种氟化溶剂的具体优点和缺点,作者在图3中总结并比较了不同氟化溶剂的7个关键参数:传输能力、负极稳定性、正极稳定性、润湿性、高温性能、低温性能和可燃性等。例如,氟化酯显示出优异的负极稳定性,电压窗口可扩展至5V;氟化醚与锂金属具有高相容性和中等负极稳定性(可满足4V级正极),有助于应用于锂金属电池;氟化直链酯和醚则表现出对隔膜和电极的良好润湿性,有助于减少电解液用量等。

图3. 不同非氟化和氟化溶剂关键参数对比
2、含氟溶剂的合成策略
新型氟化溶剂几乎都涉及两个关键反应,即亲核和亲电反应。虽然合成这些溶剂的反应路径和机理已知,但对于首次进入该领域的研究人员来说,仍较为陌生。因此,作者对含氟溶剂的不同合成方法及其反应机理进行讨论和分析,主要包括两个方面:(1)选择性形成新的C-F键和(2)功能化修饰含氟分子。
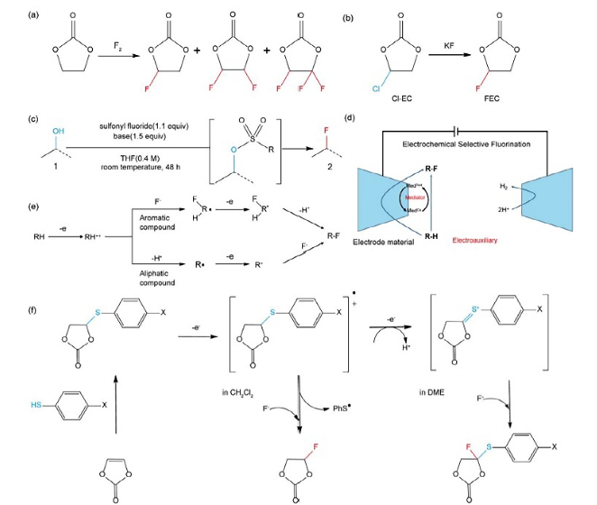
2.1 选择性形成新C-F键
尽管有许多不同的策略来合成用于LIB的有机氟溶剂,但在有机化合物中选择性地引入氟仍具有挑战性,特别是在区域选择性和立体选择性方面,形成新的C-F键面临的主要挑战来自氟的固有特性:从动力学角度来看,氟的高电负性和小离子半径使其易于形成强氢键,从而降低其亲核性,在氢键供体溶剂中,C-F键的形成(图4)受到动力学限制,而氟在非质子溶剂中表现出强亲核性,加剧副反应发生。表1总结了直接氟化法、卤素交换法、脱氧氟化法、电化学氟化法等不同氟化方法的优点和缺点。
表1. 不同氟化法对比


图4. 新C-F键形成示意图
2.2 氟化分子的功能改性
选用特定官能团修饰氟化溶剂是获得难以直接氟化合成的氟化合物的有效方法,该策略可以避免在特定位置形成C-F键和还原消除C-F键的困难。目前,通过用官能团修饰氟化溶剂,已经设计和合成了各种酯、氨基甲酸酯、醚、磷酸酯、砜和腈等氟化溶剂。此外,由于活性催化剂、计算机辅助合成路线和现代纯化技术的发展,越来越多的含氟电解液溶剂已被开发和评估。一般而言,通过氟化反应合成新的C-F键易于工业化生产,但底物范围和相应的产物受到限制。相反,氟化分子的改性似乎更通用,但该方法的选择性和产率还需进一步提高,未来应开发模块化设备,实现公斤级合成。
3、氟化溶剂的性能和应用
3.1 氟化酯类
常见氟化酯类溶剂主要包括氟化碳酸酯(FEC)、氟化线性碳酸酯、氟化环状羧酸酯、氟化直链羧酸盐等。其中,FEC是最成功的碳酸酯衍生物之一,得益于氟的低极化率和高电离焓,FEC表现出低熔点、低可燃性、更高的负极稳定性以及较高的氧化和还原电位。此外,FEC的特定还原机制导致在负极表面(石墨、硅和锂金属)上可以形成更好(更致密)的SEI,使其在改善正负极界面稳定性等方面广泛应用(图5)。

图5. EC及其含氟衍生物的性能
3.2 氟化醚类
与氟化酯类似,许多因素,包括氟含量、氟化基团的类型、结构单元连接性和溶剂化结构,对氟化醚的性质具有重要影响。环型或线性醚类提供中等介电常数和低粘度,常表现出良好的金属锂负极兼容性,但也面临低电压窗口等问题,研究发现,氟化醚类具有更高的抗氧化作用且可以改善界面相容性(图6)。

图6. 氟化环醚类的性能
3.3 氟化砜类
与碳酸酯和醚相比,砜类溶剂(图7)常用于高压电解液,如四亚甲基砜(TMS)的氧化分解电压可达到5.5 V,高极性的磺酰基(SQO)的强吸电子性,一方面导致砜的高抗氧化性和锂盐的充分解离;另一方面,它使砜具有高粘度,导致对电极和隔膜的润湿性差。同时,砜的负极相容性差,特别是对锂金属负极,其上有高电阻SEI层,并伴有穿梭的RSO2RSO3形成,导致电荷转移电阻急剧增加,而在砜中引入氟可以显著改善其电化学性能。例如,Xu等人合成了部分氟化的不对称线性砜,显著改善SEI形成,具有良好的负极稳定性。

图7. 氟化砜类溶剂
3.4 氟化磷类
有机磷酸盐(图8),例如磷酸三乙酯(TEP),已经被引入到常规电解液中作为灭火剂以提高电池安全性,磷酸盐最突出的问题是它们在石墨负极上形成保护SEI膜的能力较差,会导致石墨层状结构的坍塌和电解液的连续分解。考虑到氟化取代基有利于调节负极上SEI并降低溶剂粘度,Xu等人系统地研究了新型氟化烷基磷酸酯,平衡了电解液的耐热性和电化学性能。尽管氟化磷类溶剂显示出对两种电极的相容性,但远不能令人满意,因此仍需要努力开发新的溶剂或策略。

图8. 氟化磷类溶剂
3.5 氟化溶剂中接枝酯或醚官能团
酯类和醚类的最显著优势是其高溶剂化性质可以保证锂盐溶解,全氟分子可以结合两种溶剂的优点,显著改善电解液性能。例如,氟化1,4-二甲氧基丁烷同时兼具醚类的锂金属负极相容性和氟化溶剂的高电压耐受性的优势。Wong等人使用氢氟醚接枝碳酸酯的策略解决了具有不燃性氢氟醚的低溶解度和弱离子传导的问题。酯类或醚类的另一个显著优点是它们与负极材料的良好界面相容性和SEI形成能力。应注意得是,额外链段可能会使溶液更粘稠,导电性更低。因此,整合两种或更多种类型的溶剂的概念是设计先进锂电池用电解液的有效策略。
3.6 多官能团改性的含氟溶剂
为实现电解液性质的全面改善,最近已经提出将更多的官能团并入一个溶剂分子中,比如含酰胺的磷酸盐类和氟磺酰胺类等。例如,Shiga等人比较了两种类型的氟化磷酸酯酰胺(PNMeMe和PNMePh)对带电LiNi0.8Co0.15Al0.05O2的热稳定性,发现在氨基中引入苯基比氟化烷基磷酸酯提供更好的热稳定性,而在PNMePh电解液中,即使在高盐浓度和VC额外辅助下,锂离子插入石墨仍然不完全可逆。
4、不同电池体系的溶剂选择
最后,作者给出了氟化溶剂选择的一般原则,主要关注包括高电压、快速充电、锂金属负极、低温和安全性等五个问题(图9)。(1)高电压,提高电池能量密度的一个有效方法是提高电极工作电压,许多氟化溶剂,如碳酸盐、砜类和醚等具有很高的氧化电压超过5 V;(2)快速充电,快速充电需要在本体电解液和界面层中具备快速离子传输能力,需要选用具有低粘度、高介电常数和良好成膜能力的溶剂,新型氟化溶剂的充电速率通常小于4C,有希望在15分钟内实现完全充电;(3)锂金属负极相容性,与氟化溶剂一起使用的锂金属负极具有比石墨更高的初始库伦效率,但是其平均库伦效率低于EC电解液中的平均库伦效率,仍需要进一步研究;(4)低温,具有低熔点的溶剂是开发低温电解液的先决条件,使用氟化溶剂作为助溶剂或添加剂可以平衡溶剂化结构,有助于改善电池低温性能;(5)安全性,氟化磷酸盐类溶剂可以作为阻燃剂使用来提高电解液安全性,具体作用机制需要进一步研究。

图9. 含氟溶剂电解液的关键电化学参数
全文总结
综上所述,本文对围绕电解液氟化溶剂的基本性质、应用实例、合成策略以及选用原则等进行了系统介绍,并在此基础上对氟化电解液的未来发展进行了展望(图10),包括先进合成策略、先进表征技术、结构和功能相关性、自适应氟化溶剂体系、机器学习和可持续发展等方面。该综述将有助于从事相关领域研究者全面了解氟化电解液的设计理念与研究进展,对开发高性能电解液具有重要指导意义。

图10. 新型氟化溶剂的未来研究方向
文献信息
原文:Emerging electrolytes with fluorinated solvents for rechargeable lithium-based batteries.
Chem. Soc. Rev., 2023. (DOI: 10.1039/d2cs00873d) https:// doi.org/: 10.1039/d2cs00873d
文章来源:能源学人
特别声明:本站所载图文内容均来源互联网,微信公众号等公开渠道,我们对文中观点保持中立,出于更直观传递信息之目的转载稿件,仅供参考。版权归原作者和机构所有,并不代表本网赞同其观点和对其真实性负责。如有侵权,或涉及任何第三方合法权利,请及时联系我们删除(微信:snan2109;QQ:906945059),我们会及时反馈并处理完毕。