▍研究背景
目前,磷酸铁锂电池不仅占据了储能市场的主导地位,在动力电池领域也比层状氧化物/石墨电池拥有更大的市场份额。然而,在低温和快充条件下,商用锂离子电池表现极为不佳,这主要是由于石墨负极侧动力学缓慢以及随之而来的析锂问题。此外,正极动力学的限制也会对电池的倍率能力和低温容量产生不利影响。商用磷酸铁锂电池正极的电化学动力学仍然不如层状三元正极,这使得磷酸铁锂电池在快充和低温下运行时面临更严峻的挑战。为了解决这些问题,拓宽电解液低温液程和提升电解液/电极界面锂离子传输动力学至关重要。
▍成果简介
近日,清华大学张强课题组提出了一种低温电解液设计策略,通过调节羧酸酯基电解液的阴离子化学,同时改善了Li+传输动力学和界面稳定性。通过三电极测试系统结合弛豫时间分布技术,解耦正负极界面阻抗,精确获得了正极和负极的界面离子锂离子传输动力学参数,实现了对羧酸酯基电解液动力学贡献的定量化分析。通过多尺度多维度表征研究了石墨负极在LiFSI基和LiPF6基羧酸酯基电解液中的低温界面演化过程,揭示了LiFSI在避免低温析锂和构建稳定且高Li+传输动力学界面膜上的重要作用。在没有妥协室温循环稳定性的基础上,实现了LiFePO4/石墨全电池在−80至+80°C的超宽工作温域和出色的快充能力。该文章发表在国际顶级期刊Angewandte Chemie上。李泽珩研究员为本文第一作者。
▍研究亮点
1. 提出了兼顾电化学动力学和界面稳定性的低温电解液设计策略。
2. 通过三电极系统和弛豫时间分布(DRT)技术量化了电解液设计对磷酸铁锂/石墨电池Li+传输动力学的贡献。
3. 系统研究了极端温度下磷酸铁锂/石墨电池的界面演化过程。
4. 实现了磷酸铁锂/石墨全电池在−80至+80°C的超宽工作温域,室温下超过1200圈的稳定长循环以及5 C快充能力。
▍图文导读
电池在极端条件下的容量发挥和循环稳定性与界面Li+传输和界面稳定性高度相关。弱溶剂化策略可以提升电池的Li+传输动力学,实现锂离子电池在低温和快充下的高容量发挥,但由于多数弱溶剂化溶剂成膜能力差且易氧化,该策略易于造成电极/电解液界面的不稳定,尤其是难以保证长循环过程中的界面稳定性。另一方面,高盐浓度电解液能显著提升锂离子电池的界面稳定性,然而高盐浓度在低温下面临着显著降低电解液的离子导率以及严重的结晶问题。即使应用低粘度、宽液程羧酸酯基溶剂,高盐浓度电解液在极端低温下(< −40°C)也难以工作。因此,为了实现锂离子电池在极端条件下应用并最小化对循环寿命的损害,电解液设计需要兼顾电化学动力学和界面稳定性的提升。基于此,清华大学张强教授课题组使用双氟磺酰基酰亚胺锂(LiFSI)代替常规LiPF6作为锂盐溶质,以9:1(v/v)的丙酸甲酯(MP)/氟代碳酸乙烯酯(FEC)作为溶剂,设计并制备了一种具有宽低温液程、高体相离子导率、快速界面动力学和优异成膜能力的新型羧酸酯基电解液(图1, LiFSI/MF91)。MP作为主溶剂,具有低凝固点、中等沸点和宽电化学稳定窗口。加入少量FEC作为共溶剂以增强成膜能力,同时不明显损害低温液体范围和离子电导率。LiFSI替代 LiPF6可显著提高本体电解质的离子电导率,并改善磷酸铁锂和石墨电极上的界面电荷转移动力学和界面稳定性。优选锂盐浓度为1.5 M,以最大程度地提升体相电解液的锂离子传输能力。此外,适度增加的锂盐浓度可以提供更多的阴离子来形成和修复界面膜,而不会牺牲电解液的低温液程,有助于在长循环周期下维持稳定界面稳定。

图1. 磷酸铁锂/石墨电池在(顶部)LiPF6/MF91和(底部)LiFSI/MF91中的界面Li+传输动力学和界面稳定性的示意图。

图2. 不同电解液的物化性质表征。
MP基电解液在−80至+80°C的温度范围没有发生相变,始终保持液态。即使在−80°C下也保证着良好的可流动性。在−45至+80°C的温度范围,LiFSI/MF91的离子电导率始终是LiPF6/MF91的两倍以上。
图3. 不同电解液的界面Li+传输动力学分析。
采用三电极体系对使用LiFSI/MF91和LiFP6/MF91电解液的电池进行变温EIS测试以排除对电极干扰,精确获取石墨或磷酸铁锂电极在不同温度下的阻抗信息。随后,通过DRT技术直接区分电化学过程的时间常数,从而精确解耦了电极的电化学动力学过程。通过对DRT曲线中对应电化学过程峰面积的积分计算得到界面膜阻抗(RCEI和RSEI)以及电荷转移阻抗(Rct)。可以发现,LiFSI同时降低了磷酸铁锂和石墨负极侧的界面膜阻抗和Rct。尤其是作为低温下电化学过程决速步的Rct的显著降低,实质性地提升了电池的低温性能。此外,本工作通过三电极体系监控了磷酸铁锂正极和石墨负极在室温快速充放条件下(5 C)的充放电曲线。可以发现,LiFSI/MF91显著降低了电极在高倍率充放电下的极化,证实了LiFSI/MF91的应用可有效降低磷酸铁锂/石墨电池在极端工作条件下的析锂风险。
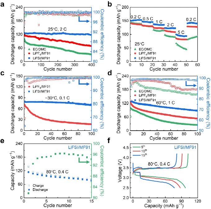
图4. 使用不同电解液的磷酸铁锂/石墨扣式全电池电化学性能对比。
图5. −30°C循环后石墨负极的表征。
图6. −30°C循环前后石墨负极的SEI演化情况。
扫描电子显微镜(SEM)图片显示在−30°C循环100圈后,LiFSI/MF91中的石墨负极保持了光滑的表面,没有可观察到的Li0镀层,而LiPF6/MF91中的石墨负极则被Li0明显覆盖。通过X射线光电子能谱(XPS)、冷冻电镜和飞行时间二次离子质谱(TOF-SIMS)等手段探究了采用不同电解液的石墨负极的SEI演变情况。结果表明,LiFSI/MF91在低温循环过程中能够形成稳定的SEI,而石墨稳定的本体结构也进一步证实了这一点。除了低温稳定性外,LiFSI/MF91衍生的SEI还表现出优异的高温稳定性。
图7. 磷酸铁锂/石墨软包电池在极端条件下的电化学性能。
采用LiFSI/MF91的1.0 Ah级软包电池表现出了优异的室温长循环和室温快充性能(5 C)。软包电池也展示了优异的低温高倍率性能(−20°C/0.5 C)和超低温循环稳定性(−40°C)。即使在−80°C下,软包电池仍可作为可靠的电源,提供高达215 mAh的容量。
▍总结与展望
本文设计了一种适用于在极端条件下工作的磷酸铁锂/石墨电池的电解液,兼具锂离子传输动力学和界面稳定性。LiFSI/MF91具有宽液程、高体相离子电导率和快速的界面Li+传输动力学,显著提升了电池在低温和快充条件下的容量发挥并缓解了析锂问题。此外,LiFSI/MF91能够在磷酸铁锂正极和石墨负极上形成薄而均匀的界面相,并能够在很宽的温度范围内保持稳定。采用LiFSI/MF91的磷酸铁锂/石墨电池表现出超宽工作温域,1.0 Ah级软包电池在2 C下表现超过1200次循环的长循环稳定性,容量保持率为80.2%。此外,软包电池具有5 C快充能力,10分钟内达到89% SOC。LiFSI/MF91还使软包电池能够在高倍率和超低温下实现稳定的低温循环性能,即使在−80°C下,软包电池仍可作为可靠的电源,提供高达215 mAh的容量。这项工作为设计具有高界面动力学和高界面稳定性的锂离子电池提供了新的见解。
▍文献链接:https://doi.org/10.1002/anie.202409409
文章来源:能源学人
特别声明:本站所载图文内容均来源互联网,微信公众号等公开渠道,我们对文中观点保持中立,出于更直观传递信息之目的转载稿件,仅供参考。版权归原作者和机构所有,并不代表本网赞同其观点和对其真实性负责。如有侵权,或涉及任何第三方合法权利,请及时联系我们删除(微信:snan2109;QQ:906945059),我们会及时反馈并处理完毕。