随着电动汽车的快速发展,锂离子电池的寿命问题日益受到关注。电池在-20℃到70℃的宽温度范围内工作,其老化机制是否存在差异?这对电池的热管理系统设计至关重要。
论文标题:Temperature dependent ageing mechanisms in Lithium-ion batteries-A Post-Mortem study
发表期刊:Journal of Power Sources(影响因子:9.794)
原文链接:DOI: 10.1016/j.jpowsour.2014.03.112
研究团队:德国太阳能与氢能研究中心(ZSW),Thomas Waldmann团队
本研究系统揭示了锂离子电池在不同温度下的老化机制,发现25℃是一个关键转折点,为电动汽车电池的热管理提供了重要理论依据。
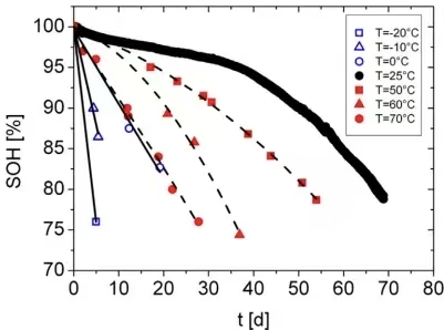
研究采用商用18650型高功率电芯,正极为LiNi1/3Mn1/3Co1/3O2/LiMn2O4混合材料,负极为石墨/碳材料。电池在-20℃到70℃温度范围内以1C倍率循环充放电,直至容量衰减至初始容量的80%。

通过扫描电镜、X射线衍射、电极厚度测量等多种表征手段,研究人员对老化后的电池进行了解剖分析,系统研究了不同温度下的老化机制。
关键发现:阿伦尼乌斯图中存在明显的拐点,表明在25℃上下存在两种不同的老化机制。

循环测试数据显示,在25℃-70℃的高温区间,老化速率随温度升高而加快,符合常规化学反应规律。然而,在-20℃-25℃的低温区间,老化速率却随温度降低而增加,这一反常现象暗示了不同的老化机制。

阿伦尼乌斯图清晰显示两个线性区域:高温区活化能为0.38±0.02 eV,低温区表现为负活化能(-0.57±0.02 eV),这表明在低温条件下存在快速放热平衡过程。
核心机理:温度低于25℃时,主要老化机制是锂金属在负极表面的析出。

参比电极测试表明,在低温条件下,石墨负极的极化电位低于0V(相对于Li/Li+),这导致了金属锂的析出。析出的锂与电解液反应,消耗可循环锂离子,导致容量衰减。
实验证据包括:库仑效率降低、充电过程相关的加速老化、以及软包电池中观察到的灰色金属锂沉积。
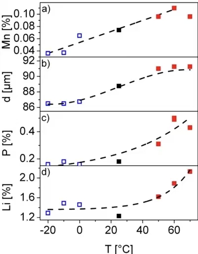
核心发现:温度高于25℃时,主要老化机制转变为正极材料退化和负极SEI膜增长。

电极厚度测量显示,高温老化后负极厚度显著增加,表明SEI膜持续生长。同时,正极中锂含量减少,锰元素溶解并在负极表面沉积。

XRD分析进一步证实了正极材料的结构变化:NMC材料c轴晶格常数增大,a轴减小;LMO材料晶格常数减小,这些变化与锂损失和锰溶解直接相关。

研究通过软包电池模型系统,深入分析了温度对电极极化的影响。
在低温范围内,石墨负极表现出更强的极化行为,导致电位降至0V以下,引发锂析出。而在高温范围内,极化电位为正,不会发生锂析出,老化主要来自化学降解反应。

本研究首次系统揭示了锂离子电池在宽温度范围内的老化机制转变:
1.低温机制(<-20℃-25℃):锂金属析出为主导,通过消耗可循环锂导致容量衰减
2.高温机制(>25℃-70℃):正极退化与SEI增长为主导,导致活性物质损失和内阻增加
实际意义:
1.电动汽车电池系统需要精确的热管理,将工作温度维持在25℃左右
2.低温环境下需要防止大电流充电,避免锂析出
3.高温环境下需要重点考虑正极材料稳定性和SEI增长控制
未来方向:开发宽温度范围内稳定的新型电极材料和电解质体系,特别是改善低温抗锂析出能力和高温结构稳定性。
Thomas Waldmann:德国太阳能与氢能研究中心资深研究员,长期从事锂离子电池老化机理研究,在电池寿命预测和失效分析领域具有丰富经验。团队在Journal of Power Sources等顶级期刊发表多篇重要论文,为电动汽车电池系统优化提供了重要理论支撑。
文章来源:电池课堂
特别声明:本站所载图文内容均来源互联网,微信公众号等公开渠道,我们对文中观点保持中立,出于更直观传递信息之目的转载稿件,仅供参考。版权归原作者和机构所有,并不代表本网赞同其观点和对其真实性负责。如有侵权,或涉及任何第三方合法权利,请及时联系我们删除(微信:CintaZz7),我们会及时反馈并处理完毕。